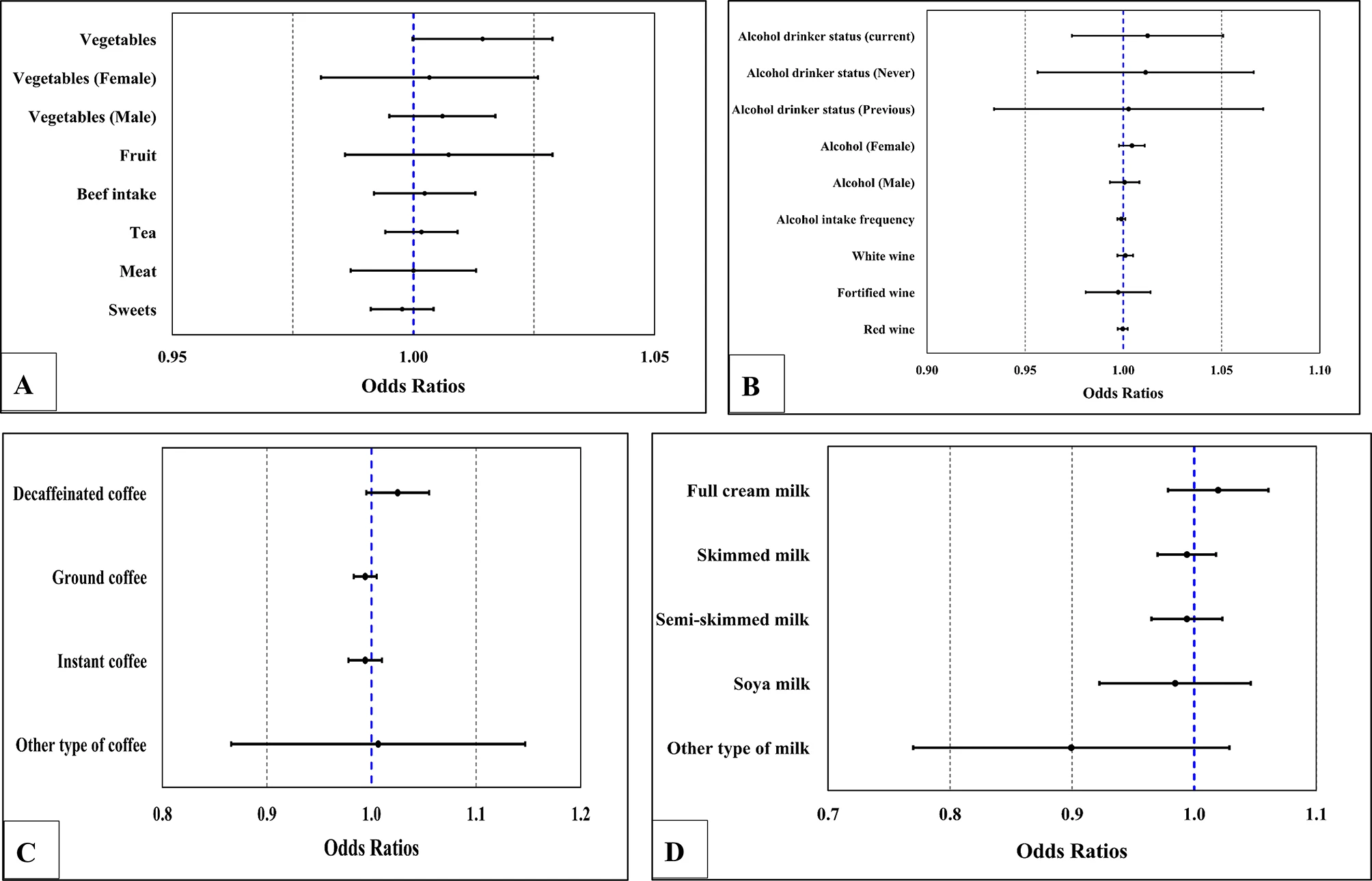
És sabut que hi ha una associació entre el tipus de dieta i la incidència del càncer colorectal. Menys clares són, però, les relacions causals darrera d’aquesta associació. Yingyi Fan i Jinchang Huang, del Tercer Hospital Afiliat a la Universitat de Medicina Xinesa de Beijing, han aprofitat les dades genòmiques, epidemiològiques i nutricionals del UK Biobank per fer-ne una recerca que apareix aquesta setmana a la revista BMC Medical Genomics en forma d’un article que té com a primeres autores Mengyang He, de l’escola de graduats d’aquesta universitat, i Luyao Huang, de l’Hospital Xiyuan de l’Acadèmia de Ciències Mèdiques Xineses. UK Biobank ofereix dades d’associació genòmica per a nou hàbits alimentaris, com ara el consum d’alcohol (per a 549.703 persones), consum de cafè instantani (250.308 persones), consum de fruita (210.947 persones), consum de carn (210.947), consum de llet sencera (41.036), consum de dolços (25.521), consum de te (501.494), consum de verdura (210.947) i consum de iogurt i gelat (210.947). Per a la comparació el ULK Biobank recull 5.567 persones amb càncer colorectal i 372.016 controls. L’anàlisi d’aleatorització mendeliana (MR) que apliquen He et al. empra una variança inversa ponderada, una mediana ponderada, una regressió MR-Egger i tests residuals multivariats. En aquesta població hi ha una associació positiva entre el consum de verdura i un augment del risc de patir càncer colorectal. Ara bé, aquesta associació desapareix quan es fan comparacions múltiples. Pel que fa a l’alcohol, la fruita, la carn, la llet sencera, els dolços i el te ja no s’arriba a observar ni tan sols una associació forta. He et al. pensen que la recomanació d’una major adhesió a la dieta mediterrània és la que caldria remarcar en la prevenció del càncer colorectal.

He et al. han intentar estimar genèticament com diferents hàbits alimentaris s’associen en canvis causals en la probabilitat de patir càncer colorectal.
Un estudi d’aleatorització mendeliana
Jinchang Huang i Mengyang He conceberen i dissenyaren l’estudi, que fou realitzat per Luyao Huan, He i Xuan Wang (de l’escola de graduats de la Universitat de Medicina Xinesa de Beijing). Les dades foren analitzades per Huan i He. Els gràfics foren preparats per Huan, He, Yingyi Fan i Wang; les taules per He i Wang. L’article fou redactat per Huan i He. Fou tramès a la revista BMC Medical Genomics el 19 d’abril del 2023. Una segona versió arribà el 9 de juliol per ser revisada per Vassiliki Bountziouka. Una tercera fou presentada el 12 d’agost; la quarta el 3 de novembre; la cinquena l’endemà, i fou la sisena l’acceptada el 16 de desembre.
El càncer colorectal és un dels tumors malignes més freqüents, i només el càncer del pulmó el supera en termes de mortalitat. La incidència anual és actualment de 1,9 milions de nous casos, i la mortalitat anual és de 935.000. La tendència és a un augment anual de la incidència del 6%, i també ho fa la mortalitat. Diversos estudis assenyalen que el tabaquisme, la inactivitat física, el sedentarisme i la diabetis mellitus s’associen a un augment de la incidència i mortalitat de càncer colorectal. L’associació, però, no és suficient per aclarir els mecanismes causals.
Una forma de fer-ho és a través de l’aleatorització mendeliana (MR en l’acrònim anglès). Aquesta aproximació utilitza els polimorfismes mononucleotídics (d’herència mendeliana) com a variables instrumentals de factors de risc. Així s’aconsegueix eliminar factors de confusió i destriar entre causes i efectes del risc que hom vol estudiar.
UK Biobank ofereix una base de dades pública sense restriccions. He et al. fixen per l’associació amb els polimorfismes nucleotídics de menys de 5 × 10− 6, i un desequilibri de cadena de r2 < 0.001.
He et al. fan ús de nou estudis d’associació genòmica (GWAS) del UK Biobank:
– un sobre el consum de verdura (amb 210.947 participants, estructurats per sexes).
– un sobre el consum de fruita (210.947).
– un sobre el consum de carn bovina (69.687).
– un sobre el consum de te (501.494).
– un sobre el consum de carn (210.947).
– un sobre el consum de dolços (25.521).
– un sobre el consum de cafè descafeïnat (88.784).
– un sobre el consum de cafè en pols (115.952).
– un sobre el consum de cafè instantani (250.308).
– un sobre el consum d’altres tipus de cafè (8.754).
– un sobre el consum de llet sencera (41.603).
– un sobre el consum de llet desnatada (119.480).
– un sobre el consum de llet semidesnatada (382.990).
– un sobre el consum de llet de soia (22.717).
– un sobre el consum d’altres tipus de llet (9.933).
– un sobre el consum de iogurt/gelat (210.947).
Per distingir entre tipus de consum d’alcohol, He et al. distingien entre homes i dones, freqüència de consum, bevedors i ex-bevedors, consum de vi negre, consum de vi rosat, consum de vi blanc o consum de vi fortificat.
L’estudi de cohort de UK Biobank amb les associacions genòmiques contemplava dades de 5.567 casos de càncer colorectal i 372.016 controls.
He et al. empren diversos mètodes de MR: IVW, mediana ponderada i MR-Egger.
Efectes causals de nou hàbits alimentaris sobre el càncer colorectal
Amb un model d’efectes aleatoris IVW amb 12 polimorfismes mononucleotídics associats amb el consum de verdura, He et al. troben un efecte causal potencial del consum de verdura sobre el risc de càncer colorectal. Aquest efecte també apareix amb un model WM. Ara bé, quan s’aplica una correcció per comparacions múltiples desapareix aquest resultat.
He et al. no observen associacions causals amb el risc de càncer colorectal per a d’altres paràmetres alimentaris (fruita, te, carn, dolços). Tampoc no hi troben pel consum d’alcohol, ni pel cafè, ni per la llet.
La base d’aquest estudi és l’assumpció que els hàbits alimentaris estudiats tenen una determinació genètica, i que per tant la dotació genètica associada s’hauria de manifestar pleiotròpicament en la incidència de càncer colorectal. El resultat negatiu de He et al. suggereix que els hàbits alimentaris estudiats no tindrien un efecte directe (=causal) sobre el risc de patir càncer colorectal. L’associació que hom troba en diferents estudis epidemiològics respondria a un esquema més complex de causes i efectes.
Un consum habitual de verdura, en fornir fibra alimentària, és quelcom recomanat a pacients de càncer o a pacients amb un risc elevat de patir-lo. La raó seria l’acció directa de la fibra en el tracte gastrointestinal (reducció del temps de transport i de contacte amb carcinògens en la mucosa del colon; captura dels carcinògens; producció d’àcids grassos de cadena curta). Les metaanàlisis d’estudis de cohort, però, no troben en general una associació significativa entre el consum de verdura i una reducció del risc de patir càncer colorectal. Una mica com podria suggerir les dades inicials de He et al., l’EPIC-Oxford trobà una major incidència de càncer colorectal en vegetarians comparats amb no-vegetarians. També hi ha tota una literatura sobre carcinògens naturals en les verdures que explicaria aquesta associació paradoxal.
He et al. s’inclinen per recomanar una dieta de caràcter mediterrani, amb una bona ingesta d’oli d’oliva i de productes vegetals (fruita, verdura, llegum, fruit sec, gra integral) i un consum moderat de peix, aviram, làctics i alcohol, i un consum baix de carn vermella, aliments processats i rebosteria.
Pel que fa al consum d’alcohol, hom sospita que és el metabòlit acetaldehid el que explicaria la seva associació amb un major risc de patir càncer. D’altra banda, el consum d’alcohol, en augmentar els nivells de lipocalina i, de retruc, augmentar la sensibilitat a la insulina també tindria potencials efectes oncoprotectors, als quals caldria sumar l’efecte mediat per flavonoids i compostos fenòlics habituals en les begudes alcohòliques, en particular el vi negre.
He et al. pensen que alguns dels resultats negatius trobats en el seu estudi obeeixen al caràcter ambivalent de molts aliments. Així, per exemple, el te és portador de polifenols amb capacitat antioxidant, però també de compostos mutagènics i genotòxics (tanins, cafeïna). Quelcom semblant passa amb el cafè.
Una altra raó de l’absència d’associacions causals és la complexitat de causes i efectes en factors de risc ambiental com l’obesitat, la inactivitat física o el tabaquisme. Aquests estils de vida tenen una doble base, genètica i ambiental (ambient familiar, ambient social, etc.).
També és complexa la base genètica del càncer colorectal. En el desenvolupament d’una línia tumoral patogènica participen mutacions germinals (ja heretades pel pacient des de l’inici de la vida) i mutacions somàtiques (acumulades en els llinatges cel·lulars al llarg de la vida).
Davant de la complexitat de causes i efectes, He et al. remarquen la importància d’una visió integral de l’alimentació com la que ofereix el patró alimentari mediterrani tradicional.
Lligams:
– Nine dietary habits and risk of colorectal cancer: a Mendelian randomization study. Mengyang He, Luyao Huan, Xuan Wang, Yingyi Fan & Jinchang Huang. BMC Medical Genomics 17: 21 (2024).
– UK Biobank.